孙世鹏教授团队近期于AIChE Journal期刊(2024, e18699)发表题目为Broad-spectrum corrosion-resistant nanofiltration membranes via reactive site-bridged nanofibrous network的文章。
研究亮点:
共纺与交联协同解决ECTFE膜制备中的挑战
戊二醛的醛基(-CHO)与聚乙烯醇的羟基(-OH)赋予基底亲水性与反应活性位点
反应活性位点通过席夫碱反应与酯化反应桥接基底与选择层
多活性位点桥接的纳米纤维膜在有机溶剂、酸、碱等多种苛刻体系中具有优秀的稳定性
背景介绍:
纳滤膜具有亚纳米级孔径和独特的表面电荷,对于分离分子量在100-2000 g/mol范围内的小分子具有极佳的选择性,被广泛应用于各个领域。然而,在食品加工、酸洗、氯碱生产和生物医学应用等行业中,纳滤膜经常需要面对苛刻的运行条件,如暴露于极性溶剂、强酸、强碱和高温溶液等环境中。传统的薄膜复合膜在这些环境下往往难以保持稳定性,常见问题包括溶胀、化学键断裂以及聚合物链蠕变等。虽然目前已开发出耐酸、耐碱、耐溶剂和耐高温等特种纳滤膜,但其适用范围有限,难以应对复杂多变的工业环境。因此,本研究致力于开发一种具有广谱耐腐蚀性能的新型纳滤膜,旨在实现苛刻环境下小分子有机物的稳定精准分离。
文章简介:
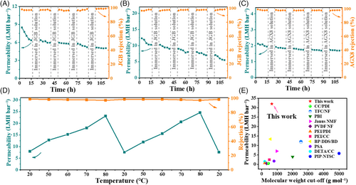
含氟聚合物聚(乙烯-三氟氯乙烯)(poly(ethylene-chlorotrifluoroethylene), ECTFE)具有丰富的高能C-C和C-F键,表现出优异的机械、热和化学稳定性,是广谱耐腐蚀纳滤膜的理想基底材料。然而,其溶剂难溶性和疏水特性给膜制备工艺带来了严峻的挑战。本研究利用聚乙烯醇的表面活性剂特性、电可纺特性以及丰富的反应活性位点,成功构建了一种具有多反应位点的ECTFE纳米纤维网络。通过聚乙烯醇与戊二醛之间的羟醛缩合反应,赋予ECTFE基底优秀的稳定性、亲水性和丰富的反应活性位点,包括羟基和醛基。基于这些反应位点与界面聚合单体聚乙烯亚胺和均苯三甲酰氯之间的席夫碱和酯化反应,实现了基底与聚酰胺选择层间的稳固结合,从而制备出多活性位点交联的薄膜纳米纤维复合膜(图1)。该膜渗透性高达32.34 LMH/bar,并对分子量大于510 g/mol的染料分子实现了超过99%的截留率,其渗透选择性处于文献报道的相似纳滤膜的较高水平(图2)。ECTFE固有的耐腐蚀性和多反应位点的整体交联结构确保了膜在广谱腐蚀环境中的稳定性。静态浸泡(图3)和动态过滤实验(图4)表明,膜在酸、碱、高温和有机溶剂(如10 wt% H2SO4、1 M NaOH、乙醇、DMF、NMP和高温)等严苛环境中暴露21天后,仍能保持约98%的染料去除率。与文献中报道的耐苛刻环境复合膜相比,TFC-ECTFE膜具有更小的截留分子量和更高的纯水渗透性,证明其在苛刻分离体系中具有高效的小分子有机物分离能力。该研究为设计下一代可适用多样化苛刻环境的广谱耐腐蚀纳滤膜(CRNF)奠定了基础。

图1. (a)膜制备过程示意图;(b)PVA和GA之间的羟醛缩合反应;(c)界面聚合过程中的反应示意图

图2. (a)不同压力下TFC-ECTFE膜的纯水通量;(b)TFC-ECTFE膜对不同染料的截留率(进料:50 mg/L染料溶液);(c)文献中报道的最先进的纳滤膜与本研究中的TFC-ECTFE膜(对分子量为479.01 g/mol的RB)的性能比较

图3. TFC-ECTFE膜在(a)10 wt% H2SO4、(b)1 M NaOH、(c)80 ℃水、(d)乙醇、(e)DMF和(f)NMP中浸泡不同时间后的性能(进料:50 mg/L RB19溶液)(插图为浸泡实验后的相应SEM图像)

图4. TFC-ECTFE膜在不同pH值(a:pH = 1;b:pH = 13)下进料溶液为50 mg/L JGB溶液的长期稳定性测试;(c)TFC-ECTFE膜在50 mg/L AGX8的乙醇进料溶液中的长期稳定性测试;(d)TFC-ECTFE膜在不同温度下对50 mg/L JGB溶液的长期稳定性测试;(e)TFC-ECTFE膜与文献报道的耐腐蚀膜的渗透性和截留分子量的比较
相关论文信息:https://doi.org/10.1002/aic.18699
来源:江苏省未来膜技术创新中心