膜蒸馏过程是以多孔疏水膜为应用核心,以膜两侧易挥发组分的饱和蒸汽压差为过程推动力,允许气态分子通过膜孔的同时隔绝液态溶液,最终实现料液的浓缩富集与纯水资源的收集。与传统脱盐技术相比,膜蒸馏过程最大的优势在于其能够处理高盐体系浓废水,且理论脱盐率高达100%,可用于海水淡化、超纯水制备及果汁药物浓缩等方面。而膜润湿现象是制约膜蒸馏过程长期稳定运行的关键,因此越来越多的研究者们致力于提高膜蒸馏用膜的抗润湿性能。
本文采用了低表面能涂层材料,全氟聚醚(PFPE),基于浸涂与UV固化的方式,成功制备出超疏水PFPE/PVDF复合膜,探究并优化了改性条件。实验结果表明,制备出的复合膜具有较好的膜蒸馏应用潜能。
并得到以下实验结论:
1)改性后,对膜表面进行FTIR表征,经前后对比发现,能够在1530 cm−1及1730 cm−1处观察到官能团丙烯酸酯的特征峰,表明涂层成功存在于膜表面,如图1所示;

图1 复合膜表面FTIR谱图
2)根据图2中复合膜表面接触角的表征结果可以看出,由于大孔径基膜的溶液渗孔现象较为严重,改性效果较差,而较低孔径的复合膜表面疏水效应更好,接触角均在150°以上,最高可达170.5°,同时水珠能够在膜表面自由滚动(表面滚动角约为0°);

图2 制备的复合膜表面接触角
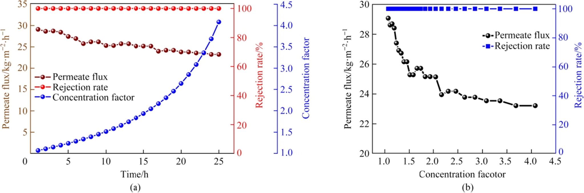
3)根据不同条件下改性优化的结果,最终选择了0.22 μm底膜,涂覆浓度5%的0.22μm-5%复合膜进行膜蒸馏稳定性能测试。如图3所示,该复合膜性能保持相对稳定,具有很好的渗透性和耐盐性能。

图3 0.22μm-5%复合膜的膜蒸馏性能
相关论文信息:https://doi.org/10.1016/j.cjche.2021.03.018
来源:CJCHE中国化学工程学报